본문
[유머] 요즘 애들이 문해력이 부족하다는 증거..jpg [19]
2026.02.18 (03:47:26)
| 74148002 | 1 근친 교배를 해도 유전병이 안 생기게 하는 법 (33) | .rar | 90 | 15740 | 04:59 |
| 74147913 | 2 인류학과 교수가 말하는 진화론 VS 창조론.jpg (50) | 김이다 | 37 | 9573 | 04:08 |
| 74148130 | 3 호연..전설의 "그 장면".mp4 (34) | 애쥬어 메인쿤 | 53 | 9627 | 06:11 |
| 101801 | 핫딜 [쿠팡] VGN 잠자리 F2 Master 8K나노 게이밍 마우스 48,900원 | 핵철이 | 10 | 34218 | 20:44 |
| 12930799 | 스타레일)스파키 이거 무조건 19금 스트리머인게 분명함. (2) | 임팩트아치였던것 | 6 | 275 | 05:52 |
| 12930798 | 블루아카) 쁠뿡이형님들 제발 문닫으라고요... (4) | 실종홀리데이 | 6 | 310 | 26.02.17 |
| 12930797 | 결국 내려간 최가온 선수 현수막 (13) | 나르비의창자 | 18 | 1267 | 07:42 |
| 12930796 | 한국인들이 국적 찾는게 가장 어려울때 (7) | 뭘쳐다봐유게뤼 | 9 | 1179 | 07:37 |
| 12930793 | 축복받은 능력 (13) | 뭘쳐다봐유게뤼 | 12 | 1489 | 07:28 |
| 12930792 | 한국 스트리머 먹방, 베트남에서 좋은 반응 얻다 (19) | 끼꾸리 | 21 | 3496 | 07:34 |
| 12930791 | 갈비탕. | Awing | 4 | 519 | 26.02.17 |
| 12930790 | 오- 맛난 츠케멘 | 빠오빠오개초코 | 4 | 636 | 26.02.17 |
| 12930789 | 금일자 프리큐어의 충격적인 설정 (6) | 하나사키 모모코 | 8 | 1324 | 26.02.15 |
| 12930788 | ㅅㅅ를 하기 위한 피나는 노력 (9) | 뭘쳐다봐유게뤼 | 19 | 3140 | 07:22 |
| 12930787 | 원신) 근데 모나옷은 치녀수준인데, 왜 본인 옷은 점잖게 입고 계신거지 (13) | 떡잎마을 방범대 | 8 | 1008 | 26.02.17 |
| 12930786 | [프린세스커넥트] 🎉아메스 & 네비아🎉 생일 축하해 | 아타호-_- | 4 | 415 | 00:20 |
| 12930785 | 제복 판타지가 깨진 여자 (12) | 뭘쳐다봐유게뤼 | 38 | 4899 | 07:31 |
| 12930784 | 원신) 유라 코스한 피겨 스케이터 (3) | 鶏胸肉 | 7 | 622 | 01:21 |
| 12930783 | 체인소맨 작가가 어시 운은 진짜 넘사벽이었다는 증거 (5) | 듐과제리 | 12 | 1424 | 26.02.14 |
| 12930782 | (소전2)아무리 생각해도 워딩이 좀 그래 (2) | 위 쳐 | 6 | 421 | 26.02.17 |
| 12930781 | 건담) GUNDAM MIDNIGHTERS -9- (8) | 김털보 ο | 16 | 552 | 26.02.17 |
| 12930780 | 체인소맨)초지 일관 섹미새 주인공 (3) | 브라고레스 | 8 | 695 | 01:08 |
| 12930779 | 박스만 보면 환장하는 냐옹이 (14) | 뭘쳐다봐유게뤼 | 17 | 4044 | 07:21 |
| 12930778 | 사먹으면 진짜 심각한 상태라는 음식 (17) | 루리웹-5838624796 | 36 | 6066 | 07:17 |
| 12930777 | 블루아카) 선생이란 사람을 조사하고 오겠습니다 ㅡ (3) | 영드 맨 | 6 | 510 | 00:36 |
| 12930776 | 프리큐어)캐디의 오늘자 일러스트.jpg (2) | 친친과망고 | 6 | 573 | 26.02.15 |
| 12930775 | 이야 진짜 독하다 독해 (8) | 🏇 | 7 | 1258 | 03:49 |
| 12930774 | 21세기 인간들은 여전히 우리를 모시고 있답니다 (1) | Cortana | 9 | 1739 | 04:46 |
| 12930773 | 오랜만에 진상 손님 만났다 ㅋㅋㅋ (3) | 너왜그러니? | 16 | 2116 | 05:15 |
| 12930772 | 호주의 흔한 싸움 (16) | 뭘쳐다봐유게뤼 | 19 | 4489 | 07:19 |
| 12930771 | 아기가 자꾸 울어서 항의한 이웃 (9) | 뭘쳐다봐유게뤼 | 18 | 4173 | 07:17 |
| 12930770 | '야말 PK 실축' 바르셀로나, '퇴장' 지로나에 1-2 역전패 | 159720442 | 4 | 787 | 26.02.17 |

(IP보기클릭)125.143.***.***
저걸 이해하기 위해 필요한 문해력이라면 좀 무너져도 될거같아
(IP보기클릭)116.33.***.***
겨우 저정도 간단한 서술트릭도 이해하지 못한다니 대한민국의 문해력은 무너졌구나!
(IP보기클릭)14.45.***.***
(IP보기클릭)61.75.***.***
(IP보기클릭)61.101.***.***
(IP보기클릭)221.165.***.***
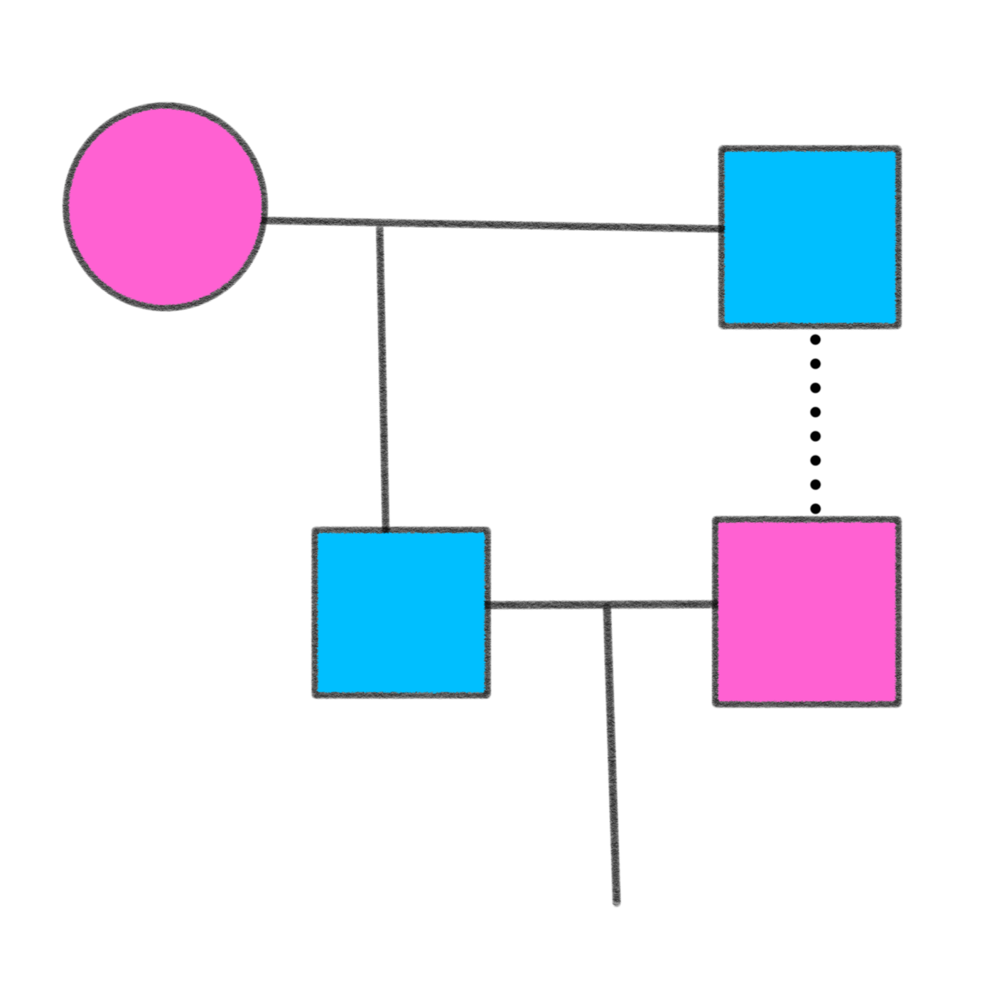
참 단순한 가계도인데 말이지
(IP보기클릭)221.165.***.***
아니다 이건가?
(IP보기클릭)61.101.***.***
(IP보기클릭)116.33.***.***
겨우 저정도 간단한 서술트릭도 이해하지 못한다니 대한민국의 문해력은 무너졌구나!
(IP보기클릭)125.143.***.***
전국악당협회장
저걸 이해하기 위해 필요한 문해력이라면 좀 무너져도 될거같아 | 26.02.18 03:49 | | |
(IP보기클릭)218.156.***.***
(IP보기클릭)61.75.***.***
(IP보기클릭)14.45.***.***
나스리우스
| 26.02.18 03:51 | | |
(IP보기클릭)221.157.***.***
| 26.02.18 03:51 | | |
(IP보기클릭)1.241.***.***
(IP보기클릭)122.46.***.***
(IP보기클릭)211.225.***.***
(IP보기클릭)221.145.***.***
(IP보기클릭)14.45.***.***
(IP보기클릭)119.71.***.***
(IP보기클릭)1.236.***.***
(IP보기클릭)211.234.***.***
(IP보기클릭)118.235.***.***
(IP보기클릭)221.165.***.***
참 단순한 가계도인데 말이지
(IP보기클릭)221.165.***.***
XLie
아니다 이건가? | 26.02.18 04:02 | | |
(IP보기클릭)222.117.***.***