제목과 같이 방어구에 랜덤옵으로
공옵, 속공옵, 치명타옵이 붙어서 쓰고 있긴한데
이게 어느 정도급인지, 바꿔야할지, 그냥 쓸지 고민될 때가 있습니다.
이를 판단하기 위한 참고가 될만한 자료가 있는데요.
레딧의 한 유저가 정리한 자료로
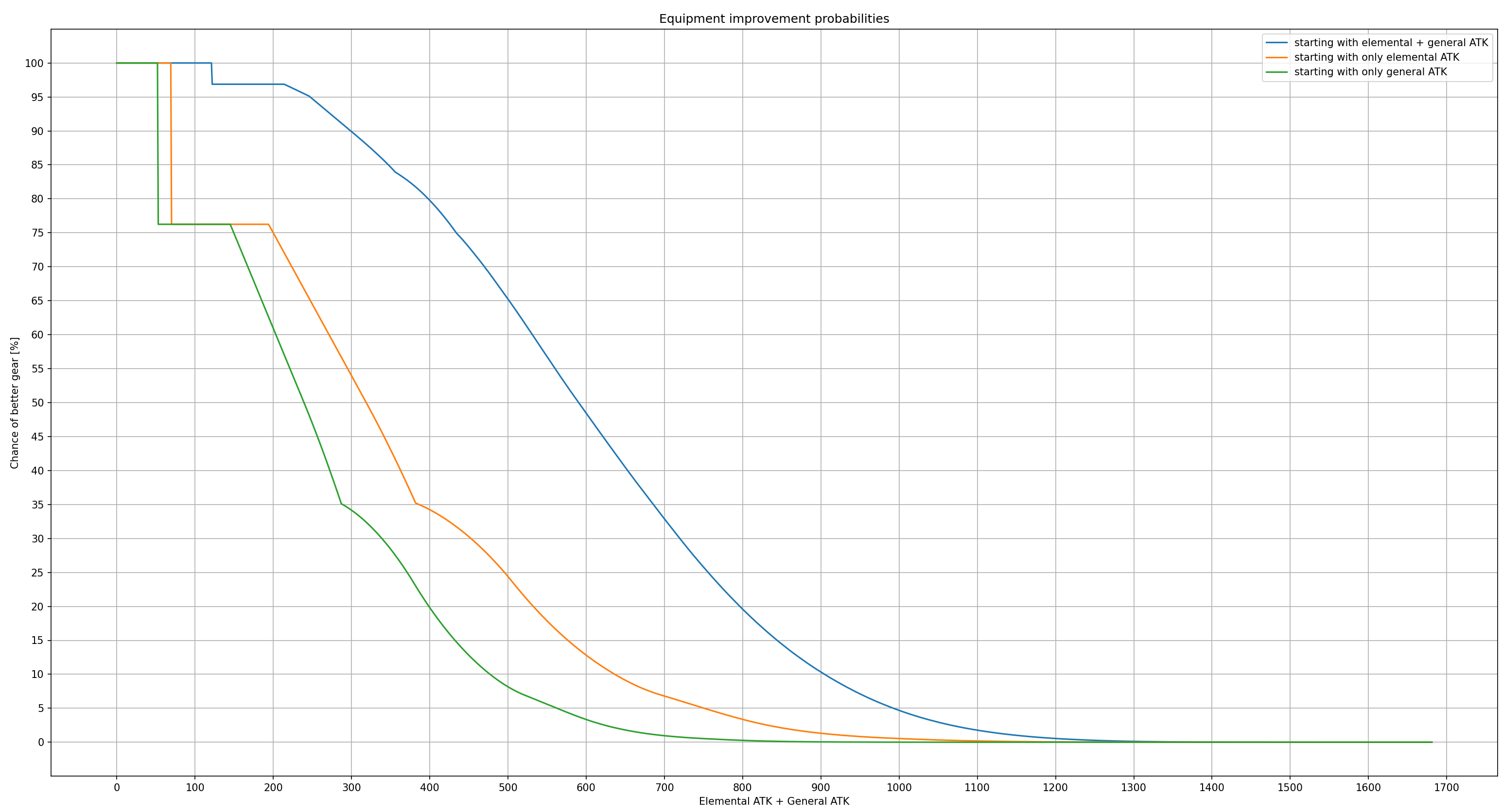
방어구를 5성(★)을 만들었을 때 '공옵' / '속공옵' / '크리티컬옵'의 수치를 기준으로
더 나은 옵션의 장비를 가질 수 있는 확률을 그래프로 나타낸 것입니다.
Y축 = 해당 옵션보다 더 나은 장비를 가질 확률
X축 = 옵션 수치
※ Y축에 대한 쉬운 이해는 상위 몇% 라고 생각해도 괜찮습니다.
다만, 어떤식으로 해당 그래프가 만들어졌는지에 대해선 정확한 언급은 없어서
신용은 하지마시고 참고만 하는 정도로 보세요.
이 정도로도 충분히 도움됩니다.
공격력 옵션 = 초록
속성 공격력 옵션 = 주황
둘이 합친거 = 파랑
예) 공 + 속공옵 합이 800인 장비에 대응하는 수치는 20%이고
이는 현재 옵션보다 20% 확률로 더 좋은 옵션을 가질 수 있다는 의미
▶ 이해가 어렵다? 그럼 상위 20% 장비로 해석
크리티컬 옵션 = 파랑
예 ) 2400크리티컬 옵은 15%에 대응
장비에 2400 크리티컬이 묻어있다면 15% 확률로 이보다 더 좋은 장비를 얻을 수 있다.
예 ) 내가 가진 장비 크리옵은 업글 다해도 800이네? (72~73%)
결론 : 장비를 바꾸자
예 ) 내가 가진 장비 크리옵이 업글 다한게 3000이네? (약 8%)
결론 : 그냥 차고 있자
※ 치명타와 공옵이 모두 붙는 장갑과 신발은
두 옵션다 적절한 조건 맞추는데는 허들이 좀 높습니다.
이상입니다.
이게 어느정도 %가 적당한 옵인가에 대한 판단은 불가능한 자료이고
그저 가지고 있는 장비를 가늠하기 위한 자료로 사용하세요.
궁금하신 점은 댓글로...


