본문

글쓰기   목록 | 이전글 | 다음글

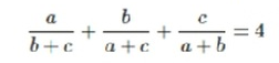
[유머] 95퍼센트가 못푼다는 수학문제의 진실 [72]


profile_image_default


(4713700)
123 | 72 | 46942 | 비추력 4330
프로필 열기/닫기
글쓰기
|
목록 | 이전글 | 다음글

댓글 | 72
1
 댓글


(IP보기클릭)211.58.***.***

BEST
문제식 자체는 과일로 표시할 수 있을만큼 짧고 단순하지만 푸는게 조낸 어려운 걸 낚시로 올린 거인듯
21.06.17 14:48

(IP보기클릭)220.119.***.***

BEST
자릿수 읽기도 힘드네 ㅋㅋㅋㅋ
21.06.17 14:45

(IP보기클릭)223.39.***.***

BEST
풀이과정을 다 짜르고 이거만 가져와서 그런데 풀이과정 보면 못푸는게 당연하구나 싶어지더라
21.06.17 14:52

(IP보기클릭)106.250.***.***

BEST

21.06.17 14:45

(IP보기클릭)166.104.***.***

BEST
당장 과일 2개는 그냥 1로 가정하면 나머지 과일하나는 (7+sqrt(65))/2 라고 하는 3개의 양수값으로 성립할껄. 미지수가 3개고 방정식이 하나니까 해는 무한히 많음. 저걸 정수(양수)로 답해라로 제한하면 미친듯이 어려워지는거지.
21.06.17 14:53

(IP보기클릭)166.104.***.***

BEST
positive value라고 햇으니 양수기는 해야지.
21.06.17 14:55

(IP보기클릭)211.36.***.***

BEST
제가 영어 공포증이 있어서 안읽었습니다 죄송합니다
21.06.17 14:57

(IP보기클릭)106.250.***.***

BEST

21.06.17 14:45

(IP보기클릭)211.36.***.***

루리-1448707037
이건 또 뭐옄ㅋㅋㅋㄱ | 21.06.17 15:02 | | |

(IP보기클릭)220.119.***.***

BEST
자릿수 읽기도 힘드네 ㅋㅋㅋㅋ
21.06.17 14:45

(IP보기클릭)68.146.***.***

팔껍마황
일단 계산기에 다 써지지도 않음 ㅎㅎㅎㅎ | 21.06.17 15:11 | | |

(IP보기클릭)211.58.***.***

머야 저거 답이 어마어마한 수가 나와버린다는 건가?
21.06.17 14:46

(IP보기클릭)118.235.***.***

아 문제가 낚시가 아니라 존나 어려워서 풀수 있는 사람이 거의 없는 거구나
21.06.17 14:46

(IP보기클릭)211.58.***.***

BEST
화살표글을보면박제를하는나는난는
문제식 자체는 과일로 표시할 수 있을만큼 짧고 단순하지만 푸는게 조낸 어려운 걸 낚시로 올린 거인듯 | 21.06.17 14:48 | | |

(IP보기클릭)223.39.***.***

막장발컨2
마치 페르마의 마지막 정리처럼? | 21.06.17 14:58 | | |

(IP보기클릭)166.104.***.***

정수라는 조건만 없으면 해는 생각보다 많지 않나?
21.06.17 14:51

(IP보기클릭)218.155.***.***

사라다이
그럼 무한히 나오려나 | 21.06.17 14:52 | | |

(IP보기클릭)166.104.***.***

BEST
사라다이
당장 과일 2개는 그냥 1로 가정하면 나머지 과일하나는 (7+sqrt(65))/2 라고 하는 3개의 양수값으로 성립할껄. 미지수가 3개고 방정식이 하나니까 해는 무한히 많음. 저걸 정수(양수)로 답해라로 제한하면 미친듯이 어려워지는거지. | 21.06.17 14:53 | | |

(IP보기클릭)118.235.***.***

사라다이
정수 조건 붙으면 개쉑 되는거고 그게 아니면 그냥 함수임 | 21.06.17 14:53 | | |

(IP보기클릭)218.155.***.***

사라다이
정확히는 삼차원 함수라 무슨 수를 넣든 다른 값을 구할 수 있으니까 | 21.06.17 14:53 | | |

(IP보기클릭)39.7.***.***

저번에 풀이 올라온거봤는데 무슨 논문이더라
21.06.17 14:52

(IP보기클릭)223.39.***.***

BEST
풀이과정을 다 짜르고 이거만 가져와서 그런데 풀이과정 보면 못푸는게 당연하구나 싶어지더라
21.06.17 14:52

(IP보기클릭)211.176.***.***

5% : 울프람 알파
21.06.17 14:53

(IP보기클릭)118.235.***.***

[삭제된 댓글의 댓글입니다.]
343길티스파크
저건 3차가 아니라 3연립이라 좀 다를걸 ? | 21.06.17 14:54 | | |

(IP보기클릭)218.155.***.***

[삭제된 댓글의 댓글입니다.]
343길티스파크
저건 미지수가 하나잖아. 위는 세개고 | 21.06.17 14:54 | | |

(IP보기클릭)118.42.***.***

[삭제된 댓글의 댓글입니다.]
343길티스파크
ㄴㄴ | 21.06.17 14:54 | | |

(IP보기클릭)223.39.***.***

[삭제된 댓글의 댓글입니다.]
343길티스파크
조건 만족하려면 택도 없음 본문에도 보면 정수론 전공한 교수아니면 못풀거라 하잖음 근의 공식은 기초 수학임.. | 21.06.17 14:55 | | |

(IP보기클릭)125.128.***.***

송뽕
ㅋㅋ 조건이 잘못된게 아니라 완전 잘못생각했네 ㅋㅋ 변수 3개를 3제곱으로 착각했음 ㅋㅋㅋㅋ | 21.06.17 15:20 | | |

(IP보기클릭)125.128.***.***

343길티스파크
한동안 수학문제 안푸니까 중딩급 수학능력만도 못해지네 ㅋㅋㅋㅋㅋㅋㅋ | 21.06.17 15:24 | | |

(IP보기클릭)124.49.***.***

[삭제된 댓글의 댓글입니다.]
343길티스파크
정수론의 영역이라 이거만으론 안 됨. 근의 공식 쓴다고 해가 정수로 나로는 게 아니잖아. | 21.06.17 14:55 | | |

(IP보기클릭)166.104.***.***

왜사나
정수로 제한하면 진짜 수학과 아니면 손댈수 있을려나. 정수도 은근 골까는 문제더만. | 21.06.17 14:56 | | |

(IP보기클릭)119.202.***.***

[삭제된 댓글의 댓글입니다.]
343길티스파크
3차 방정식이랑 관련 없음 Y^2 = X^3 + AX + B꼴의 방정식을 풀어야함 | 21.06.17 15:10 | | |

(IP보기클릭)1.245.***.***

Bolic
이거 페르마의 마지막 정리에서 본거같은데 | 21.06.17 15:13 | | |

(IP보기클릭)119.202.***.***

유천영
ㅇㅇ 그거 증명할때도 쓰임 | 21.06.17 15:15 | | |

(IP보기클릭)125.189.***.***

아 변수가 3개면 식3개 달라고 ㅋㅋ
21.06.17 14:53

(IP보기클릭)166.104.***.***

백파이프
아니야. 변수가 3개고 식이 1개면 개꿀이라고. 니가 원하는 답을 얼마든이 뽑아내기 좋아. | 21.06.17 14:55 | | |

(IP보기클릭)223.38.***.***

백파이프
저 식, 정수임, 양수임. 풀수는 있대. 우린 말고. | 21.06.17 14:58 | | |
파워링크 광고

(IP보기클릭)180.70.***.***

풀고서도 자릿수가 맞나 정신이 없을듯.
21.06.17 14:54

(IP보기클릭)211.36.***.***

문제에서 양의 값이라고 정의를 안했으니 (-6, 1, 5)나 (-1, 1, 5) 같은 간단한 답도 가능함 물론 풀이 과정이 있는건 아니고 끼워맞춘 답이지만
21.06.17 14:54

(IP보기클릭)166.104.***.***

BEST
그치만배신자잖아
positive value라고 햇으니 양수기는 해야지. | 21.06.17 14:55 | | |

(IP보기클릭)223.39.***.***

그치만배신자잖아
정수라고 했잖아 | 21.06.17 14:55 | | |

(IP보기클릭)124.49.***.***

그치만배신자잖아
문제에 positive 라고 명시되어있는뎁 | 21.06.17 14:55 | | |

(IP보기클릭)211.36.***.***

BEST
그치만배신자잖아
제가 영어 공포증이 있어서 안읽었습니다 죄송합니다 | 21.06.17 14:57 | | |

(IP보기클릭)147.46.***.***

그치만배신자잖아
'positive' | 21.06.17 14:57 | | |

(IP보기클릭)211.201.***.***

송뽕
근데 정작 정수라는 조건은 문제에 없긴 함. | 21.06.17 15:19 | | |

(IP보기클릭)90.149.***.***

츠루마키 코코로
whole number가 음이 아닌 정수를 가리키는 말로 쓰임 | 21.06.17 15:27 | | |

(IP보기클릭)211.201.***.***

루리웹-3645316075
아항 | 21.06.17 15:29 | | |

(IP보기클릭)90.149.***.***

츠루마키 코코로
아니면 그냥 정수로도 쓰이기는 하는 모양. 하튼 정수란 의미는 내포함ㅋㅋ | 21.06.17 15:32 | | |

(IP보기클릭)121.165.***.***

리만 가설도 한줄이야...
21.06.17 14:55

(IP보기클릭)168.131.***.***

울프람 돌려보면 눈돌아갈거같은 풀이식을 볼 수 있음 물론 거기서도 답은 안주드라 깜짝놀랐음
21.06.17 14:56

(IP보기클릭)175.208.***.***

딱봐도 존나 어려워 보이긴함. 미지수개 3개인데 식이 하나.
21.06.17 14:58

(IP보기클릭)112.172.***.***

난 저걸 풀었다는 게 신기한데. 컴터 안 돌리고 저걸 어케 풀지.
21.06.17 15:01

(IP보기클릭)1.245.***.***

애초에 단일정수해가아니지않나. 임의의 해 a1 b1 c1이라고 가정하면 0이아닌 정수 n배를 해준 na1 nb1 nc1도 해가 되잖아
21.06.17 15:03

(IP보기클릭)211.189.***.***

유천영
셋 모두 양수를 만족하는 최소 해일껄? | 21.06.17 15:08 | | |

(IP보기클릭)1.245.***.***

편안한 집
미친... | 21.06.17 15:09 | | |

(IP보기클릭)121.88.***.***

정수론의 유명한 교재에 나오는걸 과일로 표현한게 아닐까?
21.06.17 15:04

(IP보기클릭)211.36.***.***

암산으로 풀 수 있는 영역이 아닌거야???
21.06.17 15:05

(IP보기클릭)119.202.***.***

아마 저 짤에 올라온 숫자 a,b,c가 저 식을 만족하는 숫자중 가장 작은 수 일거고 저 수식을 풀기 위해서 Ellipse Curve theory(타원곡선론)이 필요하다고 얼핏 들은것 같음..... 물론 내 전공은 대수기하가 아니기 때문에 진짜로 어떻게 푸는지는 잘 모르겠고 아무튼 결론부터 말하면 저거는 정수론으로 푸는 문제가 맞긴 한데 앵간한 정수론지식으로는 절대 풀 수 없다는거임;
21.06.17 15:06

(IP보기클릭)175.113.***.***

99.999995% 가 못풀었다는건 이천만명중 한명은 즉 80억 인구중 400명 정도는 풀었다는거지?
21.06.17 15:06

(IP보기클릭)168.131.***.***

진마
정수론 대가인 교수들 세어보면 그정도는 될거같음 ㅋㅋㅋ | 21.06.17 15:09 | | |

(IP보기클릭)211.189.***.***

출처: https://www.quora.com/How-do-you-find-the-positive-integer-solutions-to-frac-x-y%2Bz-%2B-frac-y-z%2Bx-%2B-frac-z-x%2By-4/answer/Alon-Amit?ch=10&share=239be901&srid=82t8
21.06.17 15:11

(IP보기클릭)211.189.***.***

편안한 집
"Those are, in fact, the smallest solutions to the problem. As we continue to add the point P to itself, the denominators just keep growing." 인거 보면 최소해가 저거고 배수를 취할때마다 해가 새로 생기는게 아닐까 생각중 (정수론 하나도 모름) | 21.06.17 15:12 | | |

(IP보기클릭)119.202.***.***

편안한 집
배수를 취해주는건 아니고, 저 링크의 특수한 곡선에서는 두 점을 더한다는 연산(즉, 점P1과 점P2를 더한 다는 것을 점 P3라 할 수 있음)이 가능함. 그것도 저 링크안에서 있고. 답에 해당하는 점이 P라면, P+P라는 점도 답이고, P+P+P라는 점도 답이고, 뭐 이런 뜻인듯 | 21.06.17 15:14 | | |

(IP보기클릭)1.245.***.***

이문제의 매우무서운점은 4뿐만아니라 다른 모든정수에서 난이도가 기하급수적으로 뛸거같은데
21.06.17 15:17

(IP보기클릭)211.63.***.***

와 씨 저 숫자대로 계산해보니까 진짜 4나오네 어떻게 풀면 저런 숫자를 풀어 낼수 있는거냐
21.06.17 15:18

(IP보기클릭)222.99.***.***

이거 컴퓨터상에서 제대로 연산 가능한가? double 유효숫자인 15자리수를 아득히 넘어섰는데
21.06.17 15:32

(IP보기클릭)211.52.***.***

PrinnyMyLove
소숫점 아래 15자리 아님? 저건 정수라 상관 없을거 같은데 | 21.06.17 15:47 | | |
파워링크 광고

(IP보기클릭)175.223.***.***

PrinnyMyLove
__m256i도 있고 boost::multiprecision엔 int512_t 같은것도 있고 정 안되면 string기반 연산체계 구축할수도 있고 등등 안되는건 없음 단지 구현하기 귀찮을뿐 | 21.06.17 15:48 | | |

(IP보기클릭)222.99.***.***

비추의요정
구축 할려면 할 수 있는데 일반인 수준에서는 검증조차 힘든 큰 값.... 쌩으로 정수 80자리 그대로 표현하려면 35바이트는 잡아야 하고... | 21.06.17 15:51 | | |

(IP보기클릭)175.223.***.***

비추의요정
그냥 일반적인 상황일때 저정도로 큰 수를 쓸 일이 없어서 안 만들어둔거라 필요하면 걍 그때그때 만들어서 쓰면 됨 마치 금융쪽에선 부동소수점 float double 안쓰고 고정소수점 연산 라이브러리 import해서 쓰거나 직접 구현해서 쓰는 것처럼 말이지 | 21.06.17 15:51 | | |

(IP보기클릭)222.99.***.***

TnTl
나눗셈 계산하려면 정수로는 무리가 있으니... | 21.06.17 15:52 | | |

(IP보기클릭)175.223.***.***

PrinnyMyLove
연산 시간이 어느정도일지 잡는게 귀찮을 뿐 구현 못할건 없음. 옛날 3.1 도스시절이야 몇비트도 아낄려고 소스코드도 압축하고 메모리도 아껴쓰고 그랬지 요즘은 기본이 기가, 테라단위니 공간이 아쉬울일은 없음. 오죽하면 서버에서 렘누수가 지속적으로 나도 용량빨로 씹고 주단위로 버티더라 | 21.06.17 15:55 | | |

(IP보기클릭)211.52.***.***

PrinnyMyLove
저장했다가 다시 불러올때가 문제지, 계산하는건 자료형이랑 관계없지않나? 모르겠음 ㅇㅇ;; | 21.06.17 15:55 | | |

(IP보기클릭)175.223.***.***

비추의요정
요즘 컴퓨터의 연산능력이 어느정도인지 궁금하면 그냥 for i++ 무한루프 대충 걸고 한 몇초 있다가 브포 걸고 i값 찍어보셈. 한 몇백만단위로 찍혀 있을 껄? 심지어 그 값은 디버깅을 위해 최적화되지조차 않고 매번 운영채제에서 쓰레드 스왑을 하던 와중에 나오는 값임. | 21.06.17 15:58 | | |

(IP보기클릭)175.223.***.***

비추의요정
자릿수 만자리라는 수가 있다 하고 string 방식 사칙연산 구현한 다음 한 자리를 계산하는데 1ms(실제로는 틱 단위겠지만) 걸린다 쳐도 만자리 + 만자리 더하는데 10000~20000ms (올림 등 있으니 오버헤드 발생한다 치고) 정도 나오는데 이럼 현실시간 10초 정도밖에 안됨. | 21.06.17 16:02 | | |

(IP보기클릭)175.223.***.***

비추의요정
일반인이 검증하기 어려운건 코딩을 할 줄 모르니 못하는 것일 뿐 cpp 기초만 때도 노트북 기기 수준에서도 검증코드를 돌릴 수 있음 | 21.06.17 16:05 | | |

(IP보기클릭)121.128.***.***

비추의요정
cpp까지 갈 것 없이 파이썬 기초만 때도 되겠다 | 21.06.17 16:10 | | |

(IP보기클릭)118.235.***.***

x³ + y³ + z³ = 3( x²y + x²z + y²x + y²z + z²x + z²y ) + 5xyz 여기까지 계산하고 포기함
21.06.17 15:55

(IP보기클릭)121.128.***.***

라이넥
컴퓨터 계산 돌려야지 | 21.06.17 16:10 | | |


1
 댓글




목록 | 이전글 | 다음글
X