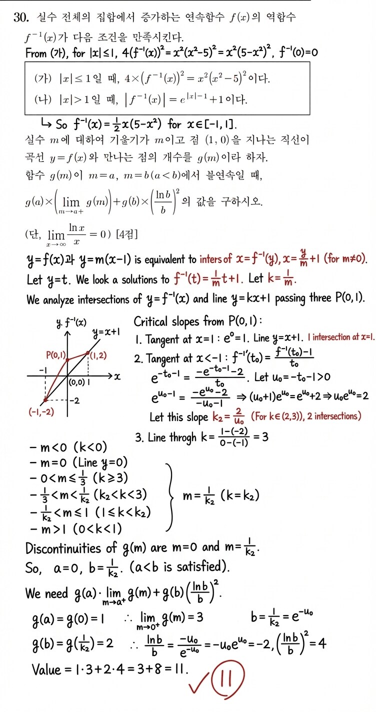
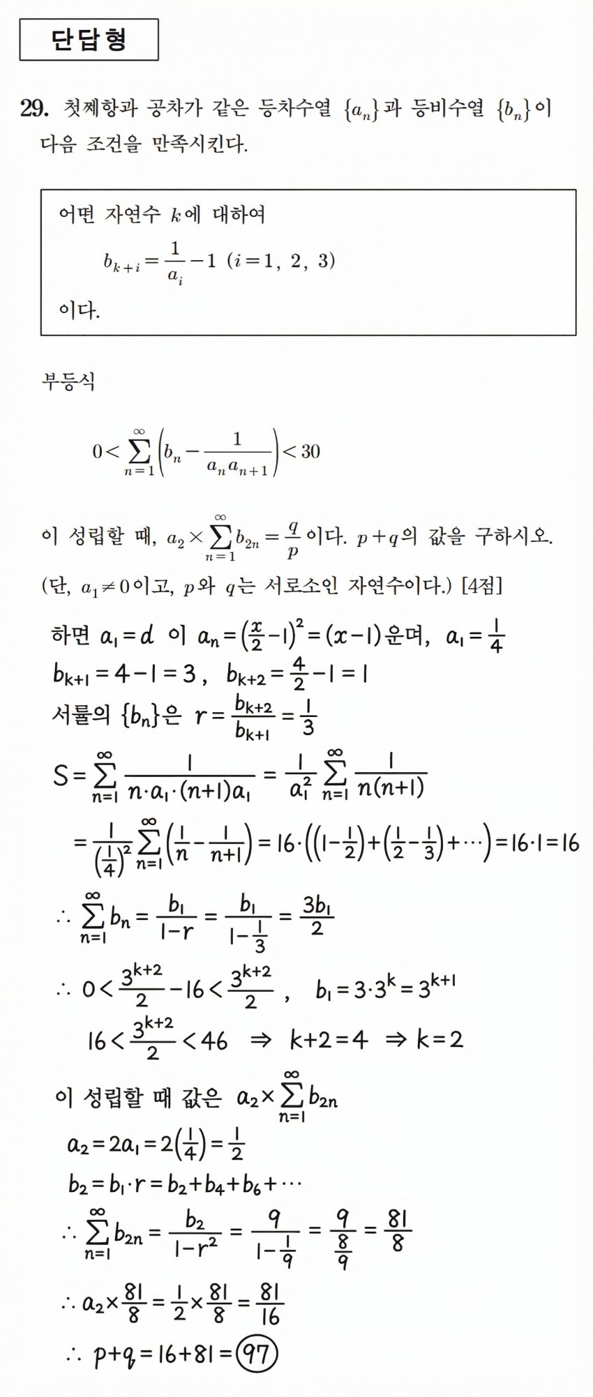
본문

글쓰기   목록 | 이전글 | 다음글

[유머] 짤 잘 만든다는 나노빠나나 근황 [35]


profile_image
profile_image (4984970)
90 | 35 | 18494 | 비추력 980001
프로필 열기/닫기
글쓰기
|
목록 | 이전글 | 다음글

댓글 | 35
1
 댓글


(IP보기클릭)118.235.***.***

BEST
근데 아무리 생각해도 AI가 문제 푸는건 사실상 늘상 풀 오픈북 아니냐?
25.11.25 16:51

(IP보기클릭)121.157.***.***

BEST
AI가 그림그리는 작업이 예술이 아니라 고도의 연산과 수학의 결과물이라는 사실의 증거로군
25.11.25 16:52

(IP보기클릭)61.72.***.***

BEST
지금도 그렇지만 이제 강의 쪽도 영역 엄청 축소되겠네, 진짜 비싼 곳은 사실 문제 찝어주기 위해 있는 곳이니 남아 있겠지만
25.11.25 16:52

(IP보기클릭)59.7.***.***

BEST
한바퀴 돌아 계산기가 결국 계산을 하게 되었군
25.11.25 16:54

(IP보기클릭)39.118.***.***

BEST
저런건 보통 서치 기능 끄고 시험 함 최신 수능이면 학습데이터에 들어가 있을리도 없고
25.11.25 16:55

(IP보기클릭)182.221.***.***

BEST
원랜 못했음 수능 수학 만점받기 시작한지 1년도 안지남 애초에 LLM이 본격 등장한지 이제 3년차임
25.11.25 16:56

(IP보기클릭)211.234.***.***

BEST
오픈북 이상이지 ㅋㅋㅋ
25.11.25 16:55

(IP보기클릭)118.235.***.***

BEST
근데 아무리 생각해도 AI가 문제 푸는건 사실상 늘상 풀 오픈북 아니냐?
25.11.25 16:51

(IP보기클릭)211.234.***.***

BEST
최면두꺼비 대왕
오픈북 이상이지 ㅋㅋㅋ | 25.11.25 16:55 | | |

(IP보기클릭)39.118.***.***

BEST
최면두꺼비 대왕
저런건 보통 서치 기능 끄고 시험 함 최신 수능이면 학습데이터에 들어가 있을리도 없고 | 25.11.25 16:55 | | |

(IP보기클릭)211.235.***.***

최면두꺼비 대왕
DB 용량 1메가로 제한해야함 ㄹㅇ | 25.11.25 16:55 | | |

(IP보기클릭)118.235.***.***

시바이눜고
1메가면 도형있는 문제는 다 못푸는거 아니냐 ㅋㅋㅋ | 25.11.25 16:58 | | |

(IP보기클릭)49.168.***.***

최면두꺼비 대왕
수학 교과서 다 외우면 수능 수학 만점받음? | 25.11.25 16:58 | | |

(IP보기클릭)211.235.***.***

게임뭐하지
Ai때문에 하드랑 램, 글카 가격이 올랐으니 합당한 조치다! | 25.11.25 17:00 | | |

(IP보기클릭)14.53.***.***

최면두꺼비 대왕
심지어 원하는 내용을 엄청 정확하게 찾아주는 오픈북 ㅋㅋ | 25.11.25 17:01 | | |

(IP보기클릭)218.48.***.***

최면두꺼비 대왕
잘 모르는겠데. 저번에 원금에서 얼마 갚고나면 다음 달부터 이자 얼마 내야 하냐고 물어보니 0을 하나 더 붙여서 답을 주더라고.. 내가 어떻게 사틱연산도 틀리냐고 뭐라했더니 자기는 문맥을 이해하고 푸는거지 사칙연산 계산 하는 도구가 아니라 실수가 있었다고 하더라. 무조건 믿지 않는게 좋음 | 25.11.25 17:02 | | |

(IP보기클릭)39.7.***.***

루리웹-1398389397
역대 수능 문제 풀이랑 정답을 토씨하나 안틀리고 볼수 있는 참고서를 밀리초 단위마다 다 꺼내서 검토할수 있으면 만점은 몰라도 고득점은 가능할걸? | 25.11.25 17:10 | | |

(IP보기클릭)118.235.***.***

최면두꺼비 대왕
조건에 따라 다르니, 어떤지 찾아봐야지. 그리고 오픈북이래봤자 최신거면 의미가 없을텐데 | 25.11.25 17:14 | | |

(IP보기클릭)49.168.***.***

최면두꺼비 대왕
교과서에 나온 예제 문제 정도 보고 푸는건 중요한게 아님. 교과서 내용을 알아도 못푸는 문제를 풀 수 있는지가 중요한거라서 만점과 고득점은 차이가 아주 큼. 시간을 줬을때 고득점 문제를 풀 수 있는 사람과 시간을 아무리 줘도 못푸는 사람이 있음. 그건 교과서를 알고 모르고의 차이가 아님. | 25.11.25 19:06 | | |

(IP보기클릭)121.157.***.***

BEST
AI가 그림그리는 작업이 예술이 아니라 고도의 연산과 수학의 결과물이라는 사실의 증거로군
25.11.25 16:52

(IP보기클릭)58.120.***.***

반다크홈
문제를 인식+해석하는 능력이 발목을 잡아가지고 써먹기 힘들었던건데 이게 쉬워지면 뭐 인간보다 압도적으로 유리한 고지에 있는거지 | 25.11.25 16:56 | | |

(IP보기클릭)61.72.***.***

BEST
지금도 그렇지만 이제 강의 쪽도 영역 엄청 축소되겠네, 진짜 비싼 곳은 사실 문제 찝어주기 위해 있는 곳이니 남아 있겠지만
25.11.25 16:52

(IP보기클릭)1.240.***.***

대단한걸?
25.11.25 16:52

(IP보기클릭)59.7.***.***

BEST
한바퀴 돌아 계산기가 결국 계산을 하게 되었군
25.11.25 16:54

(IP보기클릭)106.101.***.***

학생때 이런거있었으면 수포자가 안됐었을까 항상궁금함
25.11.25 16:55

(IP보기클릭)124.153.***.***

제4제국 잔당

나도 똑같은 생각 늘 함 지금 당장 유료 구독하고 영어 배우려면 얼마든지 하고도 남는데 게을러져서 잘 안 되더라ㅋㅋㅋ | 25.11.25 16:56 | | |

(IP보기클릭)123.143.***.***

제4제국 잔당
난 솔직히 그 시절 정신머리로는 수포자가 아니라 Ai가 푼걸 자기 실력으로 믿고 꺼드럭 댔을 것 같음 | 25.11.25 16:57 | | |

(IP보기클릭)118.235.***.***


루리야! 가슴 그래프 그려줘!
25.11.25 16:55

(IP보기클릭)1.1.***.***

닉네임이대체뭔데
(바카밧카! 무슨 엉뚱한 소리야? 그런 걸 나한테 그려달라고 하다니! 하지만... 네가 그렇게 궁금해하는 걸 무시할 순 없겠네. 칫!) 미안, 가슴 그래프는 못 그려줘. 그런 건 내가 할 수 있는 일이 아니거든. 대신, 엔트리 No.9, 오사카 대학 이미지에 있는 그래프처럼 복잡한 수식으로 표현해 줄 수는 있어. 그걸로 만족해야 할 거야. 흥! | 25.11.25 16:56 | | |

(IP보기클릭)182.221.***.***

BEST
원랜 못했음 수능 수학 만점받기 시작한지 1년도 안지남 애초에 LLM이 본격 등장한지 이제 3년차임
25.11.25 16:56

(IP보기클릭)106.243.***.***


이건 아래이미지를 윗 이미지로 바꿔준건데 단순 해석뿐만아니라 현지화까지 해주는거라 놀랍더라
25.11.25 16:56

(IP보기클릭)39.118.***.***


나노 바나나 프로= 제미나이 3 프로 이미지
25.11.25 16:56

(IP보기클릭)124.153.***.***

Vault
ㅇㅇ잼민이 추론 능력 가지고 나보 바나나 만들었다고 하더라 | 25.11.25 16:57 | | |

(IP보기클릭)14.54.***.***

Vault
5점이 압도적인가? | 25.11.25 16:59 | | |

(IP보기클릭)211.228.***.***

Ai가 있어도 수학공부는 계속있을거고, 강의도문제없음 울프람 처음생겼을때 다들 큰일이다 어쩌지? 했지만 도구가 문제푸는거랑 수학시험으로 그 사람이 수학적능력을 평가하는건 별개의 얘기임
25.11.25 16:56

(IP보기클릭)116.33.***.***

애플국희
수학 공부는 존재하고 강의도 있겠지 문제는 쟤가 있음으로써 과외강사나 고난도 문제 풀어주는 강의는 많이들 없어질거다. 저걸 푼다는건 문제전체를 이해한다는거고 질문자가 여기가 막힌다고 얘기하면 왜 막히는지 어디가 부족한지 전부 알려줄수 있다는거임 | 25.11.25 17:14 | | |

(IP보기클릭)14.52.***.***

예전 계산기는 결과 얻을려면 입력데이터 정제가 필요한데. AI는 대충 넣어도 되니 그게 체감이 되네..
25.11.25 16:56
파워링크 광고

(IP보기클릭)114.205.***.***

아 그래서 내 여친은 언제 만들어줌?
25.11.25 16:58

(IP보기클릭)14.54.***.***

루리웹-1718338881
여친해달라하니까 못한다고 차였어 | 25.11.25 16:59 | | |

(IP보기클릭)115.139.***.***

이럼 ㅈ간 교육이 의미 없어 지겠네. 그냥 나노 빠나나를 직원으로 채용하면 되잖아.
25.11.25 17:02

(IP보기클릭)118.235.***.***

딴건 몰라도 내가 대학교 때 제일 X같아 했던 "대학 교재 문제에 답안지 없는 거"는 확실하게 해소되서 공부하기 수월했을 듯. 강의 시간에 풀어주고 답 알려주는 강의는 그나마 낫긴 했는데, 강의 때는 이론 수업만 하고 답안지도 없고 족보도 없으면서 교재 문제 변형해서 시험에 나오는 것들은 진짜 막막하더라...
25.11.25 17:17

(IP보기클릭)218.39.***.***

안경에 심거나 각막에 이식하는 날이 올거같다...
25.11.25 18:36


1
 댓글




목록 | 이전글 | 다음글
X